The following content is an automatically extracted verbatim text
from the original manufacturer datasheet and is provided for reference purposes only.
View original datasheet text
2SA1369-TH51
FOR SMALL TYPE MOTOR, PLUNGER DRIVE APPLICATION SILICON PNP EPITAXIAL TYPE
DESCRIPTION
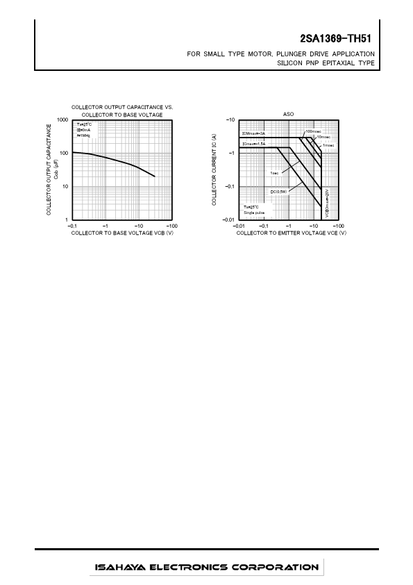
2SA1369 is a silicon PNP epitaxial type transistor designed with high collector dissipation and high collector current, high hFE. Complementary with 2SC3439.
OUTLINE DRAWING
4.4 1.6
AEC-Q101 Compliance
UNIT:mm
1.5
FEATURE
●High hFE hFE=400~800 ●High collector current IC=-1.5A,ICM=-3A ●Small collector to emitter saturation voltage
VCE(sat)=-0.25V type(@IC=-1A/IB=-20mA) ●High collector dissipation PC=500mW ●Small package for easy mounting
1.0 2.5 3.9
③②①
0.5 0.4
1.5 3.0
0.